
Revista de Ciencias Ambientales (Trop J Environ Sci). (Enero-Junio, 2018). EISSN: 2215-3896. Vol 52(1): 1-26.
DOI: http://dx.doi.org/10.15359/rca.52-1.6
URL: www.revistas.una.ac.cr/ambientales
EMAIL: revista.ambientales@una.cr
Variación horaria en las mediciones de caudales en la cuenca hidrográfica Jesús María con el método del molinete de copas
Hourly Variation in the Flow Measurements in the Jesus Maria Watershed with the Cup-type Current Meter Method
José Pablo Bonilla Valverde
Ingeniero de formulación de proyectos de abastecimiento de agua potable y saneamiento en el Instituto Costarricense de Acueductos y Alcantarillados. Costa Rica. ORCID 0000-0001-8765-9534, jpbonilla@aya.go.cr
Adrián Rojas Barrantes
Director del Área Funcional Estudios Básicos en el Instituto Costarricense de Acueductos y Alcantarillados, Costa Rica. adrojas@aya.go.cr
[Recibido: 29 de noviembre 2016. Aceptado: 4 de setiembre 2017. Corregido: 17 de octubre 2017. Publicado: 01 de enero 2018]
Resumen
La realización de aforos puntuales en Costa Rica constituye una práctica común en la evaluación del recurso hídrico para abastecimiento de agua potable. El país cuenta con una base de datos compuesta por mediciones puntuales realizadas en la mayoría de los ríos de Costa Rica con casi cuarenta años de información. En esta un solo dato (aforo puntual) se utiliza para caracterizar todo el mes en que se aforó. Con el objetivo de corroborar la validez de esta caracterización se realizaron aforos puntuales cada hora para confirmar que la variación horaria es mínima. Los aforos horarios se realizaron durante la campaña de medición de caudales de la cuenca hidrográfica Jesús María, realizada el 9 y 10 de abril de 2013. Las mediciones de caudal se realizaron con el método del molinete de copas según la norma ISO 2537:2007. Una tercera parte de las mediciones presenta una variación menor a ±1 % y más de tres cuartes partes en el rango de ±5 %. En todos los casos, excluyendo la cuenca baja del río Jesús María, las variaciones horarias en las mediciones son menores al 10 % respecto a la mediana. Se concluye que la variación horaria del aforo es relativamente pequeña y, por lo tanto, se valida la base de datos para los meses del final del estiaje. Esta experiencia debe repetirse en la misma cuenca en otras épocas del año y en otras cuencas, para garantizar que la variabilidad temporal no represente grandes diferencias en el caudal.
Palabras clave: flujo base, hidrometría, molinete de copa, río Jesús María.
Abstract
Conducting punctual gauging measurements in Costa Rica constitutes a common practice for the evaluation of water resources for drinking water supply. The country has a database composed of punctual measurements made in most of the rivers of Costa Rica with almost forty years of information. Within this database, a single data (punctual gauging) is used to characterize the whole month in which it was gauged. In order to corroborate the validity of this characterization, punctual gauging was performed every hour to confirm that the hourly variation is minimal. The hourly gauging was carried out during the flow measurement campaign in the Jesus Maria watershed conducted on April 9th and 10th, 2013. The flow measurements were performed using cup-type current meter method according to the ISO 2537: 2007 standard. One third of the measurements showed less than ±1% variation and more than three quarters were in the range of ±5% variation. In all cases, excluding the lower basin of the Jesus Maria River, variations in the measurements are less than 10% relative to the median. It is concluded that the hour variation is relatively small, and therefore, the database is validated – for the months at the end of the dry season. This experience should be repeated in the same basin at other times of the year and on other basins to ensure that the temporal variability do not represent large differences in the flow.
Keywords: base runoff, cup-type current meter, hydrometry, Jesús María river.
1. Introducción
La determinación de la cantidad de los recursos disponibles en cualquier proceso es esencial para la organización y planeamiento del mismo. El recurso hídrico no escapa a esta realidad, siendo el registro de caudales que escurren por los cauces una de las herramientas básicas para la adecuada gestión del mismo. Dicho registro proporciona información básica sobre la disponibilidad de caudales superficiales así como su variabilidad en el tiempo y espacio (WMO, 2010).
El registro de caudales es fundamental para la calibración y validación de modelos hidrológicos independientemente de su naturaleza, sean modelos estadísticos o basados en procesos físicos (Blöschl et al., 2009; WMO, 2010). La calidad de la información con que se calibre y valide el modelo determinará su incertidumbre, la cual tiene una relación directa con el riesgo de las decisiones que se tomen basados en él (Seibert & Beven, 2009). Los resultados de los modelos no se limitan a la toma de decisiones, sino que también son insumos importantes en la operación de los proyectos que se diseñen a partir de ellos (WMO, 2010).
Los modelos hidrológicos se utilizan para predecir tanto avenidas máximas como caudales mínimos en los cauces (WMO, 2010). Entre las aplicaciones de las predicciones de avenidas máximas se tiene: el diseño de vertederos, alcantarillas, represas y diques; delimitación de zonas y sistemas de alerta de inundación; restauración de ríos; entre otros (Blöschl et al., 2013; WMO, 2010). Por otra parte, las predicciones de caudales mínimos se aplican principalmente a la determinación de caudales para usos ecológicos; la gestión de la sequía; la restauración de los ríos; la evaluación de la dilución de las descargas en una corriente; y el diseño de sistemas de agua potable (Blöschl et al., 2013; WMO, 2010).
En este último caso, Costa Rica cuenta con una amplia cobertura de abastecimiento de agua potable, según el último Informe del Estado de la Nación (2015) más de un 93 % de la población costarricense recibe agua de calidad potable. A pesar de esto, el mismo Informe señala la falta de información como uno de los principales retos del país para manejar el recurso hídrico (ibíd.). Según Valverde (2013) la disponibilidad del recurso hídrico se ve además amenazada por múltiples factores, como: vulnerabilidad a la contaminación, deterioro de las cuencas, sobreexplotación del recurso y exceso de burocracia. Este problema no es exclusivo de Costa Rica; existe evidencia de la creciente presión sobre los recursos hídricos en América Central (Bundschuh & Alvarado, 2007).
Como parte de sus funciones de planeamiento el Instituto Costarricense de Acueductos y Alcantarillados (AyA) cuenta con una base de datos de aforos históricos. Estos aforos puntuales constituyen el único registro de caudales disponibles en muchas de las cuencas del país, especialmente las que no cuentan con un potencial de generación hidroeléctrica, pero sí una importante capacidad como fuente de abastecimiento de agua potable. Este registro de caudales se utiliza, principalmente, para el diseño y dimensionamiento de los sistemas de suministro en Costa Rica, específicamente en la determinación de los caudales mínimos. El presente trabajo tiene como objetivo corroborar la representatividad de los aforos puntuales para caracterizar los meses de estiaje a partir de un análisis de la variabilidad horaria.
1.1. Base de datos de aforos puntuales o instantáneos
La base de datos de aforos puntuales con que cuenta el AyA tiene una resolución temporal mensual en varias secciones de la mayor parte de los ríos del país; y con un registro de más de cuarenta años en algunos casos. Una importante limitante de ésta base de datos es su resolución temporal. Esta corresponde a medidas puntuales o instantáneas de unos minutos en un día del mes que buscan caracterizar todo el mes. Estas mediciones de caudal son representativas del caudal medio mensual en el cauce del río mientras no se presenten precipitaciones en la cuenca. Esto ocurre, principalmente, durante el estiaje, en particular, al final del mismo, el cual se da a mediados del mes abril en la vertiente del Pacífico (UNESCO, 2007). A pesar de dicha limitante, la base de datos sirve para tener una idea del orden de magnitud del caudal durante el mes caracterizado.
El registro histórico de aforos con que cuenta el AyA tiene como principal objetivo identificar los caudales mínimos para ser captados para el abastecimiento de agua potable. Debido a esto la base de datos cuenta con más información al final de la época de estiaje, donde se espera encontrar los caudales más bajos en los ríos, los cuales corresponden al flujo base. Además, la base de datos ha sido utilizada para la calibración de balances hídricos mensuales y la estimación de rendimientos y comportamientos de ríos y sistemas acuíferos (Bonilla, 2014).
1.2. Escorrentía e hidrometría
De los distintos componentes del ciclo hídrico, la medición de caudales en los cauces de los ríos representa una de las medidas más precisas (Linsley et al. 1975). Según Linsley et al. (1975) esta precisión se debe a que el agua se encuentra mucho más concentrada en comparación a otros parámetros donde las mediciones corresponden a muestras de un todo (p. ej. precipitación sobre la cuenca y niveles en pozos en un sistema acuífero). En hidrología la medición de la escorrentía se conoce como hidrometría; la medición del caudal dado por el volumen que atraviesa una sección en un determinado tiempo se denomina como aforo (Villón Bejar, 2004).
La escorrentía en los cauces de los ríos se compone de: a) flujo base, b) interflujo y c) flujo saturado (Maidment, 1993). El flujo base es el que alimenta las corrientes cuando no hay precipitación (Aparicio Mijares, 1994). Este corresponde a la descarga natural de los acuíferos presentes en la cuenca. El interflujo y el flujo saturado se convierten en escorrentía superficial durante y después de la precipitación en una cuenca (Maidment, 1993). La suma de estos dos últimos se conoce como escorrentía directa. La escorrentía puede verse afectada por algunos factores climáticos, por la geografía física de la cuenca y por las actividades antrópicas (Monsalve, 1995). De la misma manera, la precipitación influencia la recarga acuífera, y esta afecta el nivel de los sistemas acuíferos (Maidment, 1993). Por lo tanto, la respuesta de ambos fenómenos (precipitación y recarga) se refleja en el flujo base.
Existen muchas metodologías para determinar el caudal en un río. Algunos ejemplos de tipos de aforos son: volumétricos, con trazadores, con flotadores, con vertederos, con correntómetros o molinete y mediciones de nivel (Blöschl et al., 2013; Linsley et al., 1975; Maidment, 1993; Villón Bejar, 2004; WMO, 2010). La utilización de estos métodos depende de la disponibilidad de equipos, conocimiento de la sección del cauce a aforar y el volumen que escurre por la misma. Para Maidment (1993) existen factores determinantes en la calidad de la información de los aforos, estos son la precisión, la continuidad, la duración del registro para cada estación y la distribución de las estaciones en el nivel de la cuenca.
1.3. Cuenca hidrográfica Jesús María
La cuenca hidrográfica Jesús María es una de las 34 cuencas hidrográficas de Costa Rica (UNESCO, 2007). Se encuentra en la vertiente Pacífica, rodeada por dos de las principales cuencas hidrográficas del país: Barranca al norte y Tárcoles al este y sur. La cuenca hidrográfica Jesús María se compone de las subcuencas de los ríos Paires, Jesús María, Surubres, Machuca y Cuarros, así como de otras pequeñas cuencas costeras. En este trabajo solo se analizaron los aforos realizados en los ríos Jesús María, Machuca y Surubres, debido a que el Paires no presentó flujo en todo su cauce durante la campaña de aforos. El río Cuarros y las cuencas costeras se encuentran fuera del área de estudio. Según el mapa geológico de la hoja Barranca (Denyer, Aguilar, & Alvarado, 2003), en el área de estudio hay presencia de rocas volcánicas en la parte alta de la cuenca pertenecientes al grupo Aguacate; rocas sedimentarias volcanoclásticas [sic] en su parte media, compuestas por las formaciones Tivives y Esparta; y depósitos aluviales y coluviales en la parte baja de la cuenca, en la confluencia de los ríos Machuca y Jesús María.
La cuenca hidrográfica se encuentra en la región climática Pacífico Norte de Costa Rica, subregión cuenca baja de los ríos Barranca y Grande de Tárcoles definida como PN4 según Solano y Villalobos (2001); la cual pertenece al régimen de precipitación del Pacífico, caracterizado por la presencia de un período seco y otro lluvioso (ibíd.). Está cuenca se evaluó en el Balance hídrico superficial de Costa Rica, Período 1970-2002 (UNESCO, 2007) y una buena descripción de la misma se encuentra en el Estudio de Cuencas Hidrográficas de Costa Rica (Rojas, 2011).
2. Materiales y métodos
El área funcional Estudios Básicos y la Dirección Desarrollo Físico (ambas del AyA) colaboraron con la realización de una campaña de medición de caudales en la cuenca hidrográfica Jesús María. En la campaña de aforos se midieron 10 puntos en la cuenca hidrográfica del río Jesús María durante los días 9 y 10 de abril de 2013 (Campaña 2013) con cinco grupos de trabajo. Gracias a esta campaña de medición de caudales y a la caracterización química de las aguas superficiales muestreadas durante la misma por parte del Laboratorio Nacional de Aguas del AyA se determinó la presencia de un sistema acuífero que recarga el cauce principal del río Machuca y el río Surubres (Bonilla, 2014).
Los puntos donde se realizaron los aforos y las cuencas que se generan a partir de ellos se presentan en la Figura 1. En el Cuadro 1 se detalla la principal información de los puntos de aforo y en el Cuadro 2 las principales características fisiográficas de las cuencas generadas a partir de los puntos según Bonilla (2014). En estas figuras y cuadros se utiliza un código de letras y números para describir los puntos de aforo y las cuencas generadas a partir de ellos. Se utiliza la letra P para el río Paires, J para el río Jesús María, S para el río Surubres, y M para el río Machuca. El número que acompaña la letra representa el orden de las cuencas, el cual aumenta conforme desciende el flujo del agua hacia el mar.
En la definición de los puntos de aforo se utilizaron tres criterios: 1) existencia de un registro histórico en Base de Datos del AyA (sitios M10, J10, J30 y S10), 2) intersección del cauce con la red vial existente (M20, J20 y P10) y 3) confluencia de ríos (M30/S20, P20/J30 y M40/J40). Para más detalles de la selección de los puntos de aforos, así como el balance hídrico y caudales en las subcuencas y la caracterización geológica, del uso y tipo de suelos, precipitación entre otros de la cuenca, ver Bonilla (2014). Las unidades utilizadas en este estudio son de lámina de agua mensual (mm/mes). Esto se hace para uniformizar los caudales, permitiendo una mejor comparación entre ellos y con otras variables del balance hídrico, p. ej. la precipitación. Esta se calcula dividiendo el caudal entre el área total de la cuenca drenada y multiplicando por el factor de unidades correspondiente.
Para facilitar el análisis de los datos los sitios se agrupan en partes, altas (numeral 10), medias (numeral 20) y bajas (numeral 30 y 40), de las distintas cuencas. Esta agrupación también es coincidente con la geología del área de estudio: todos los puntos de la parte alta se encuentran en el Grupo Aguacate donde se espera encontrar acuíferos en un medio fracturado. Todos los puntos en la cuenca media se ubican en la Formación Tivives. Esta es subyacida por areniscas y también por lavas fracturadas (posible continuación de los acuíferos en las partes altas) y los puntos en la cuenca baja en los depósitos aluviales – con excepción de los puntos M30 y S20 que también se encuentran en la Formación Tivives.

Figura 1. Puntos donde se realizaron los aforos y las cuencas que se generan a partir de ellos
Cuadro 1. Principales características de los puntos de aforo de la Campaña 2013
|
Punto de aforo |
Descripción del sitio |
Fecha de aforo |
Número de aforos |
Elevación (msnm) |
Latitud (CRTM05) |
Longitud (CRTM 05) |
|
P10 |
Aguas arriba del puente sobre Ruta 131 Esparza-San Mateo |
09-10/04 |
0 |
160 |
431 452 |
1 103 990 |
|
P20 |
Antes de la unión con el río Jesús María, sitio “melonera” |
09-10/04 |
0 |
15 |
428 407 |
1 099 266 |
|
J10 |
San Juan de Dios de San Mateo |
09/04 |
6 |
225 |
438 644 |
1 103 814 |
|
J20 |
Aguas arriba del puente Las Damas sobre Ruta 131. |
09/04 |
6 |
100 |
433 455 |
1 101 431 |
|
J30 |
Antes de la unión con el río Paires, sitio “melonera” |
09/04 |
3 |
15 |
428 407 |
1 099 266 |
|
J40 |
Antes de la unión con el río Machuca, sitio “melonera” |
09-10/04 |
12 |
10 |
426 775 |
1 096 667 |
|
S10 |
En Higuito, camino a San Juan de Dios de San Mateo |
10/04 |
6 |
170 |
439 569 |
1 100 623 |
|
S20 |
Antes de la unión con el río Machuca |
10/04 |
3 |
65 |
436 001 |
1 098 708 |
|
M10 |
Aguas arriba de la toma de la Planta de San Mateo |
10/04 |
6 |
375 |
445 803 |
1 101 681 |
|
M20 |
Aguas abajo del puente carretera San Mateo-Orotina. |
09/04 |
6 |
180 |
442 847 |
1 097 907 |
|
M30 |
Aguas arriba de la unión con el río Surubres |
10/04 |
6 |
65 |
436 049 |
1 098 593 |
|
M40 |
Aguas arriba de la confluencia con río Jesús María |
09-10/04 |
12 |
10 |
426 861 |
1 096 690 |
Cuadro 2. Principales aspectos fisiográficos para las cuencas generadas a partir de los puntos de aforos de la cuenca hidrográfica Jesús María
|
Cuenca |
Área (km2) |
Perímetro (km) |
Elevación media (msnm) |
Índice de compacidad |
Índice de forma |
Densidad de drenaje (km/km2) |
|
P10 |
22,6 |
28,2 |
318 |
1,671 |
0,16 |
1,17 |
|
P20 |
37,6 |
44,9 |
261 |
2,065 |
0,07 |
1,21 |
|
J10 |
33,6 |
25,4 |
578 |
1,236 |
0,41 |
1,11 |
|
J20 |
51,3 |
39,4 |
467 |
1,552 |
0,14 |
1,12 |
|
J30 |
63,5 |
51,2 |
406 |
1,815 |
0,09 |
1,10 |
|
J40 |
110,4 |
64,7 |
329 |
1,738 |
0,13 |
1,14 |
|
S10 |
12,9 |
16,2 |
421 |
1,271 |
0,31 |
1,01 |
|
S20 |
28,1 |
28,1 |
315 |
1,493 |
0,18 |
1,03 |
|
M10 |
18,9 |
18,7 |
852 |
1,215 |
0,47 |
1,15 |
|
M20 |
51,5 |
34,4 |
663 |
1,351 |
0,31 |
1,13 |
|
M30 |
82,4 |
50,7 |
492 |
1,576 |
0,13 |
1,15 |
|
M40 |
150,2 |
74,1 |
363 |
1,705 |
0,10 |
1,12 |
Fuente: Bonilla (2014)
El método para la medición de caudales en la Campaña 2013 es el del molinete de copas, según la norma ISO 2537:2007; donde este instrumento se utiliza para determinar la velocidad de un fluido. Esto se logra midiendo el número de vueltas en un tiempo determinado o el tiempo necesario para un número de vueltas definidas. La velocidad del fluido se obtiene de una tabla o ecuación que relaciona la velocidad, el tiempo y el número de vueltas. Según Chow et al. (1988) una práctica estandarizada por el USGS (Servicio Geológico de Estados Unidos, siglas en inglés) es medir la velocidad a un 20 % y 80 % de la profundidad cuando esta sea mayor a 1,0 metros. Esta misma recomendación la da la norma ISO 2537:2007. Conociendo el área de la sección y multiplicándolo por la velocidad se determina el caudal. El margen de error que se acostumbra asignar al instrumento es del orden de ±5 %. Además, el molinete únicamente debe ser utilizado en el líquido para el cual fue calibrado.
Para corroborar la representatividad de los aforos se midió el caudal en el mismo punto de aforo cada hora durante seis horas consecutivas con el objetivo de establecer la variación en cortos períodos, a diferencia de los registros históricos que solo toman un valor. La campaña 2013 se realizó en dos días que fueron los únicos en los que se contó con el personal suficiente (5 parejas) para medir los diez puntos simultáneamente. Por la cantidad de grupos de trabajo y el número de puntos a aforar, se midió el caudal en los dos puntos más bajos de los ríos Jesús María y Machuca de forma sincrónica, ambos días, para disminuir la variabilidad temporal; (de manera que los datos fueran comparables entre sí). Adicionalmente, se incluyeron dos puntos donde se midió cada dos horas. El Cuadro 1 muestra el número de aforos para cada uno de los puntos de aforo.
3. Resultados
Diez de los doce puntos propuestos pudieron ser aforados, de estos, dos fueron aforados dos días (J40 y M40), seis fueron aforados cada hora en un día (J10, J20, S10, M10, M20 y M30), dos fueron aforados cada dos horas en un día (J30 y S20) y dos no fueron aforados pues no presentaron flujo (P10 y P20). El Cuadro 3 contiene los valores medios, mínimos y máximos de los aforos en estos puntos de aforo y el valor medio convertido en lámina de agua mensual sobre el área de la cuenca; este último se muestra también en la Figura 2.
Cuadro 3. Valores medio, mínimos y máximos de los caudales aforados y el caudal medio como lámina de agua sobre la cuenca hidrográfica Jesús María
|
Punto de aforo |
Caudal medio aforado (l/s) |
Caudal mínimo aforado (l/s) |
Caudal máximo aforado (l/s) |
Lámina de agua (mm/mes) |
|
P10 |
Seco |
Seco |
Seco |
0,0 |
|
P20 |
Seco |
Seco |
Seco |
0,0 |
|
J10 |
86,8 |
85,3 |
89,0 |
6,9 |
|
J20 |
66,5 |
62,7 |
70,9 |
3,5 |
|
J30 |
60,6 |
59,6 |
62,9 |
2,6 |
|
J40 |
61,4 |
44,4 |
82,5 |
1,5 |
|
S10 |
9,5 |
8,9 |
9,9 |
2,0 |
|
S20 |
16,8 |
16,0 |
16,9 |
1,6 |
|
M10 |
45,6 |
44,3 |
46,5 |
6,4 |
|
M20 |
74,4 |
67,2 |
78,8 |
3,9 |
|
M30 |
135,1 |
122,5 |
140,0 |
4,4 |
|
M40 |
218,2 |
205,5 |
228,4 |
3,9 |

Figura 2. Caudales aforados en la cuenca hidrográfica Jesús María durante los días a) 9 de abril y b) 10 de abril como lámina de agua sobre la cuenca (mm/mes)
Para una mejor interpretación se presenta la variación horaria como la división del valor de cada hora entre la mediana de todas las mediciones para mismo punto de aforo. Estos se agrupan en partes altas (numeral 10), medias (numeral 20) y bajas (numeral 30 y 40) de las distintas cuencas en las Figura 3, Figura 4 y Figura 5 respectivamente. La Figura 6 también representa las cuencas bajas, pero excluyendo el punto J40 y agrupadas por hora -a pesar de ser de días distintos-. Esto se debe al comportamiento errático de este punto de aforo, el cual dificulta observar las similitudes de los demás.

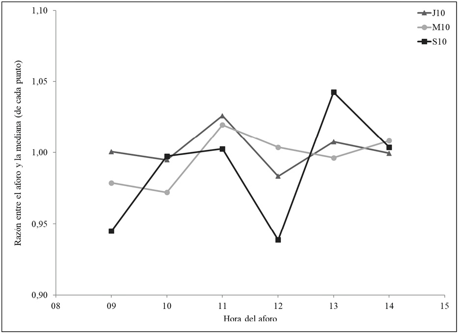
Figura 3. Variación horaria de los aforos respecto a la mediana en las cuencas altas de la cuenca hidrográfica Jesús María

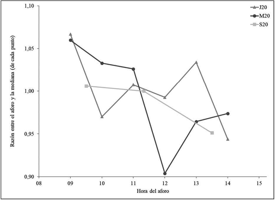
Figura 4. Variación horaria de los aforos respecto a la mediana en las cuencas medias de la cuenca hidrográfica Jesús María

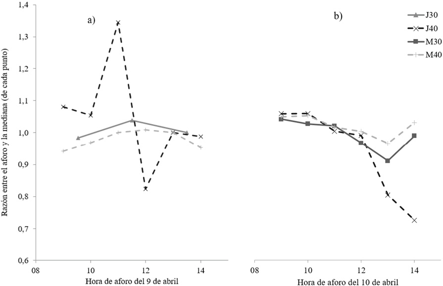
Figura 5. Variación horaria de los aforos respecto a la mediana en las cuencas bajas de la cuenca hidrográfica Jesús María para los días a) 9 de abril y b) 10 de abril

Figura 6. Variación horaria de los aforos respecto a la mediana en las cuencas bajas de la cuenca hidrográfica Jesús María - excluyendo el punto J40
A modo de resumen se presentan los valores máximos de la variación - positivas y negativas -, para todas las cuencas en el Cuadro 4. Las mayores variaciones (positivas y negativas) se presentan en la parte baja del río Jesús María (J40). En esta subcuenca la variación positiva y negativa de los caudales aforados, respecto a la mediana, es mayor a una cuarta parte de la misma. La segunda mayor variación positiva está también en el río Jesús María, en el punto de aforo J20, seguida por punto M20 del río Machuca. Ambas son una quinceava parte del valor medio. La segunda y tercera mayor variación negativa se da en el río Machuca, en los puntos M20 y M30 respectivamente, y son del orden de una décima parte del valor medio. La menor variación positiva se da en la parte baja del río Surubres (S20) y las menores variaciones negativas se dan en el río Jesús María, en los puntos J10 y J30. La distribución de las razones aforo/mediana se presenta en el Figura 7.
Cuadro 4. Valores máximos y mínimos de la relación del aforo horario respecto a la mediana de cada punto
|
Punto de aforo |
Máximo |
Mínimo |
|
J10 |
1,026 |
0,983 |
|
J20 |
1,067 |
0,944 |
|
J30 |
1,038 |
0,984 |
|
J40 |
1,276 |
0,687 |
|
S10 |
1,043 |
0,939 |
|
S20 |
1,006 |
0,951 |
|
M10 |
1,020 |
0,972 |
|
M20 |
1,060 |
0,904 |
|
M30 |
1,036 |
0,907 |
|
M40 |
1,047 |
0,942 |

Figura 7. Distribución de las razones entre el aforo y la mediana
4. Discusión
El primer resultado que se desprende de la campaña de aforos es que el río Paires no presenta flujo al final del estiaje. Esto quiere decir que no existe un sistema acuífero que alimente el cauce de este río sin la presencia de lluvias (Bonilla, 2014). Segundo, los ríos Machuca y Surubres aumentan su caudal conforme avanzan hacia el mar, y por lo tanto, se confirma que existe un sistema acuífero descargando sus aguas durante el estiaje (ibíd.). Esto no sucede en el río Jesús María, donde por el contrario, el caudal disminuye entre las cuencas J10 y J20 y luego se mantiene (ibíd.).
Respecto al caudal aforado, se evidencia que las partes altas de los ríos Jesús María y Machuca (J10 y M10) son las que presentan un sistema acuífero con mejores rendimientos (más productivas o más caudal por área), con láminas superiores a los 6 mm/mes. Estas dos cuencas drenan en su totalidad rocas del Grupo Aguacate. Por el contrario, la parte baja del río Jesús María (J40) y toda la cuenca del río Surubres (S10 y S20) presentan los menores valores, los cuales son iguales o inferiores a los 2 mm/mes, siendo estos una tercera parte de las subcuencas más productivas. Para estos primeros resultados, también expuestos anteriormente por Bonilla (2014), son fundamentales la descripción de la variabilidad horaria y la interpretación de nueva evidencia que se desprende de la misma.
Respecto a la distribución de la variación, se observa un patrón en la cuenca del río Machuca en la Figura 2. Para el día 10 de abril (ver Figura 2 b) se da un descenso abrupto en el caudal, casi de 0,90 veces respecto a la mediana, alrededor de las 12 horas en M20 con una leve recuperación a las 13 horas. Este mismo descenso se da en M30 y M40 a las 13 horas y la recuperación igualmente una hora después. El descenso en M30 es más pronunciado (similar al de M20) que en M40 - donde el descenso es menor a 0,95 veces la mediana de los aforos en este punto -. Solo en M40 se alcanza una recuperación mayor a la mediana. En M10 no se observa una caída abrupta, pero sí un comportamiento similar a la recuperación a las 11 horas. Es posible que el descenso haya ocurrido antes del comienzo del aforo y por esta razón no haya sido registrado.
Este pulso registrado en la cuenca del río Machuca durante la campaña de aforo obedece a un comportamiento sobre toda la cuenca. Si el pulso hubiera sido originado por una extracción puntual en la parte alta este igual se observaría a lo largo del cauce, pero iría reduciendo su valor respecto a la mediana ya que el río va aumentando su caudal conforme avanza hacia el mar (ver Cuadro 3). Esto no es lo que ocurre en el presente caso, por el contrario, el pulso es de la misma magnitud a lo largo del cauce, alrededor de un 10 % respecto a la mediana. Durante la campaña de aforo no se registró precipitación a lo largo de la cuenca, por lo que el pulso tiene que ser una respuesta del sistema acuífero a un estímulo externo.
En el río Jesús María se observa un comportamiento distinto al del río Machuca. En este se da un aumento a las 11 horas del 9 de abril seguido de un descenso una hora después en J10 (ver Figura 2a). En J20 se observa un comportamiento similar dos horas después. No existe suficiente evidencia para corroborar el efecto en J30 - este punto solo cuenta con 3 aforos -. En J40 se da la mayor variación, la cual ocurre el día 9 de abril a las 11 horas, con un aumento en el caudal mayor a 1,3 veces la mediana, seguido por un descenso de alrededor de 0,8 veces la mediana. No hay suficiente evidencia para afirmar que el pulso en J40 está relacionado con el comportamiento en la parte alta del río Jesús María el 9 de abril a pesar de que estos ocurren en la misma hora.
Esta variación en el caudal se puede deber a la extracción de recurso hídrico para uso agrícola entre los puntos J30 y J40. A pesar de no poder corroborar el momento preciso ni la duración del bombeo, el equipo de aforo corroboró la presencia de esta extracción ese día en el río Jesús María. Es interesante anotar que, a diferencia de las demás fluctuaciones, en este punto el aumento y disminución se ve compensado, i.e. ambos son de magnitud similar (ver Figura 5a). Además de J10, solo los puntos S10 (ver Figura 3) y M40 (Figura 6) presentan un comportamiento de compensación entre las fluctuaciones.
No se evidencia ninguna tendencia al aumento o disminución general en los datos en la Figura 3 (partes altas de las cuencas – J10, S10 y M10) más allá de un comportamiento similar entre J10 y S10. En la parte alta de las cuencas las variaciones se encuentran en el rango de 0,95 a 1,05 veces la mediana. Esta variación es menor a la precisión del equipo de medición. A pesar de no existir una disminución o aumento en la tendencia de los datos, si se evidencia un comportamiento similar entre los puntos, especialmente entre las 10 y las 13 horas, donde las variaciones aumentan y disminuyen simultáneamente, aunque no en la misma magnitud.
En la Figura 4 (partes medias de las cuencas – J20, S20 y M20) los datos presentan una tendencia general a disminuir con el tiempo. Este comportamiento se espera de una curva de recesión, donde el sistema acuífero está aportando recurso hídrico sin ser recargado. En la parte media de la cuenca (Formación Tivives) casi todas las variaciones se encuentran dentro del rango del error del equipo, salvo dos mediciones en las cuencas de los ríos Machuca (M20) y Jesús María (J20) (ver Figura 4). Por el contrario, en la Figura 5 se nota una leve tendencia al incremento del caudal entre los días 9 y 10 de abril en los dos puntos que se midieron durante toda la campaña (J40 y M40 – líneas discontinuas). Ambos puntos pasan de valores menores a la mediana al final del día 9 (Figura 5 a) y comenzando las mediciones con valores mayores a la mediana el día 10 de abril (Figura 5 b).
Otra tendencia que se observa en la Figura 5 es como el comportamiento de todas las cuencas es similar, inclusive entre puntos que pertenecen a otros ríos. En la Figura 5 a) se observa como el caudal aumenta y luego disminuye tanto en las cuencas J30 y M40 y la Figura 5 b) como el caudal en los puntos J40, M30 y M40 disminuye conforme avanza el día y existe una recuperación en el río Machuca (M30 y M40) pero esta no se da o no quedó registrada en el río Jesús María. La disminución en J40 es más abrupta que en M30 y M40. Estas tendencias se evidencian mejor en la Figura 6. Es importante rescatar el hecho de que todos estos puntos de aforo se encuentran en el mismo depósito de aluvión.
La cuenca baja del río Jesús María (J40) presenta variaciones fuera del rango de los demás puntos; mayores del orden del 10 % en casi todos los casos. La extracción de agua del río Jesús María para el regadío de los cultivos en las márgenes del mismo pudo haber generado un aumento del aporte del sistema acuífero, el cual se evidencia en J40 a las 11 horas y en J30 y M40 una hora después. Después de este aumento inducido o una rápida descarga, el sistema acuífero disminuiría su aporte, lo cual explicaría el descenso abrupto en J40 a las 12 horas, y su efecto un par de horas después en J30 y M40. Lo observado en la parte baja de las cuencas Jesús María y Machuca evidencian la presencia de un solo sistema en los depósitos aluviales y la interacción de sus aguas superficiales y subterráneas. Es importante rescatar que tanto la diferencia respecto a la mediana del aumento del caudal como la disminución en J40 el día 9 de abril son aproximadamente del mismo orden de magnitud.
Finalmente, la Figura 7 muestra la distribución de las diferencias respecto a la mediana. Casi una tercera parte (32 %) de los datos se encuentra en el rango de ±1 % respecto a la mediana y más de tres cuartas partes (76 %) en el rango de ±5 %. Este último rango de valores (o variación) es el esperado en un molinete de copas calibrado (5 %). En todos los casos – excluyendo la cuenca baja del río Jesús María – las variaciones en las mediciones son menores al 10 % respecto a la mediana. En este rango de valores (±10 % de variación) se concentra el 94 % de los datos. La parte alta de todas las cuencas es la que presenta la menor variación respecto a la mediana, con un rango del 3 % para las cuencas J10 y M10 y en un rango del 6 % para la cuenca S10; siendo esta última la que menor caudal presenta (menor a 10 l/s).
Debido a que la variación en más de tres cuartas partes de los caudales aforados respecto a la mediana es menor a ±5 %, parece indicar que se puede dar por validado el supuesto que un valor puntual o instantáneo en el estiaje (sin la presencia de lluvias) es representativo de todo el mes. Especialmente en las partes altas de las cuencas. Es necesario repetir la campaña para poder concluir más contundentemente al respecto. Es importante observar que no existan extracciones ni descargas cerca del punto de aforo durante el mismo que puedan influenciar el caudal aforado. En el caso de que existan, valdría la pena realizar aforos continuos para validar la base de datos puntuales.
5. Conclusiones
Desde el punto de vista de las mediciones de caudal, se determina que la variación horaria del aforo es relativamente pequeña durante el final del estiaje - menor al 5% - que corresponde al error del método utilizado. En 4 de los 10 puntos de aforo (J10, J30, S20 y M10) la variación se encuentra dentro de los límites propios del equipo.
Con la excepción del punto en el río Jesús María antes de la confluencia con el Machuca, todas las mediciones presentan una variación menor al 10 % respecto a la mediana de las mismas. Para el alcance de este estudio, se considera que la distribución de las variaciones es aceptable. Se estima que la caracterización de un mes a partir de un solo dato instantáneo durante el final del estiaje es apropiada para el objetivo con que se realizan los aforos, pero no ideal.
La parte alta del río Surubres tiene un comportamiento similar al Jesús María a pesar de pertenecer a la cuenca del río Machuca. Posiblemente desde el punto de vista hidrogeológico el Surubres pertenezca al Jesús María. Se requiere de un estudio hidrogeológico (p. ej. niveles piezométricos e hidrogeoquímicos) para corroborar esta hipótesis - lo cual no está dentro del alcance de este trabajo -.
La detección de extracciones o vertidos en el área de influencia del aforo son determinantes para poder establecer si la medición es o no representativa. Es importante estudiar más fondo el fenómeno observado en la confluencia de los ríos Jesús María y Machuca, para corroborar la razón de este comportamiento y la influencia que ejercen estos ríos entre ellos.
Como en cualquier proceso productivo, es fundamental conocer y controlar los insumos para planear el proceso productivo y los bienes a producir. Se debe reforzar, en la medida de lo posible, la red hidrográfica del país de manera que al menos los ríos más importantes cuenten con un monitoreo automático continuo (estaciones hidrometeorológicas). De esta manera, se cumpliría con los criterios de calidad de la información de los aforos expuestos por Maidment (Maidment, 1993): precisión, continuidad y duración del record para cada estación. Esta red es indispendable para el diseño de estrategias de manejo del recurso hídrico.
Se recomienda repetir esta experiencia en la misma cuenca en otras épocas del año, para determinar la representatividad de los datos, así mismo como repetir los aforos continuos en otras cuencas del país, con el fin de garantizar que la variabilidad temporal no represente grandes diferencias en el caudal y poder sostener que el caudal aforado es representativo del mes.
Agradecimientos
Se desea reconocer la colaboración de la Región Pacífico Central, del área funcional Estudios Básicos, la Dirección Desarrollo Físico y a sus jefaturas. Especialmente a todos los que colaboraron con las mediciones de campo: Diego Calvo, Adonay Carrillo, Humberto Coto, Javier Jiménez, Jonathan Jiménez, Johnny Mata, José Ordoñez, Karla Ordoñez, Marcial Peña, Mario Prado, Gerardo Rojas y José Ulate. Un particular agradecimiento a los señores Marco Barahona y Hugo Rodríguez quienes cooperaron con la planeación de las mediciones. Finalmente, agradecemos a la Revista y a las personas revisoras anónimas por sus múltiples comentarios que ayudaron a mejorar la versión final de este artículo.
Referencias
Aparicio Mijares, F. J. (1994). Fundamentos de hidrología de superficie. Francisco Javier Aparicio Mijares. Mexico: Limusa.
Asamblea Legislativa. (A. L. de L. R. de C. R.). Ley Constitutiva Instituto Costarricense Acueductos y Alcantarillados, Pub. L. N.º 2726 (1961).
Blöschl, G., Sivapalan, M., Wagener, T., Viglione, A., & Savenije, H. (Eds.). (2013). Runoff Prediction in Ungauged Basins: Synthesis across Processes, Places and Scales. Cambridge University Press. Doi: 10.1017/CBO9781139235761
Bonilla, J. P. (2014). Análisis hidrológico y determinación de la recarga potencial en la cuenca del río Machuca, Pacífico Central de Costa Rica. (Tesis de maestría). Universidad de Costa Rica, San José, Costa Rica.
Bundschuh, J., & Alvarado, G. E. (2007). Central America, Two Volume Set: Geology, Resources and Hazards. CRC Press.
Chow, V. T., Maidment, D. R., Mays, L. W., & others. (1988). Applied hydrology. McGraw-Hill Book Company.
Denyer, P., Aguilar, T. y Alvarado, G. E. (2003). Geología y estratigrafía de la hoja Barranca, Costa Rica. Revista Geológica de América Central, 1(29), 105-125.
Linsley, R. K., Kohler, M. A., & Paulhus, J. L. H. (1975). Applied hydrology (T M H). New Delhi: Tata McGraw-Hill.
Maidment, D. R. (1993). Handbook of Hydrology. New York: McGraw-Hill.
Monsalve, G. (1995). Hidrología en la Ingeniería. Colombia: Escuela Colombiana de Ingeniería.
PEN [Programa Estado de la Nación en Desarrollo Humano Sostenible]. (2015). Vigésimo primer Informe Estado de la Nación en Desarrollo Humano Sostenible. San José: PEN. Recuperado de http://www.estadonacion.or.cr/21/assets/pen-21-2015-baja.pdf
Rojas, N. (2011). Cuenca río Jesús María. San José: Instituto Meteorológico Nacional de Costa Rica. Recuperado de http://cglobal/sites/default/files/documentos/publicaciones/EstudioCuencas/EstudioCuencas-cuencaRioJesusMaria.pdf
Seibert, J., & Beven, K. J. (2009). Gauging the ungauged basin: how many discharge measurements are needed? Hydrology and Earth System Science, 13(6), 883-892. Doi: 10.5194/hess-13-883-2009
Solano Quintero, J. y Villalobos Flores, R. (2001). Aspectos fisiográficos aplicados a un bosquejo de regionalización geográfico climático de Costa Rica. Revista de Tópicos Meteorológicos y Oceanográficos, 8(1), 26–32.
UNESCO. (2007). Balance hídrico superficial de Costa Rica. Período 1970-2002 (Documento técnico 10). Montevideo: UNESCO. Recuperado de http://unesdoc.unesco.org/images/0015/001563/156338s.pdf
Valverde, R. (2013). Disponibilidad, distribución, calidad y perspectivas del agua en Costa Rica. Revista de Ciencias Ambientales, 45(1), 5-12. Doi: 10.15359/rca.45-1.1
Villón Bejar, M. (2004). Hidrología. Cartago: Tecnológica de Costa Rica.
WMO, W. M. O. (2010). Manual on Stream Gauging (Vols. 1-2). Geneva, Switzerland: WMO. Retrieved from https://library.wmo.int/opac/index.php?lvl=notice_display&id=540#.WPXWsTfkjHRY
![]() |
![]() |
![]() |
![]() |
Los artículos publicados se distribuye bajo una Licencia Creative Commons Atribución 4.0 Internacional (CC BY 4.0) basada en una obra en http://www.revistas.una.ac.cr/ambientales., lo que implica la posibilidad de que los lectores puedan de forma gratuita descargar, almacenar, copiar y distribuir la versión final aprobada y publicada del artículo, siempre y cuando se mencione la fuente y autoría de la obra. |
|